biasiswa yayasan tunku abdul rahman


Cara Permohonan Biasiswa Tunku Abdul Rahman 2022 Online. Anda juga boleh menghubungi mereka jika perlukan maklumat.


Biasiswa Tunku Abdul Rahman 2020 Youtube

MORE INFORMATION ABOUT BTAR SCHOLARSHIP HERE.

. Named after Malaysias first prime minister the Tunku Abdul Rahman Scholarship BTAR has evolved to the challenges of the pandemic and looks beyond good grades to discover. Layari ke portal Yayasan Tunku. Sila baca syarat-syarat permohonan di atas dengan teliti sebelum mengisi.

Menyediakan biasiswa kepada pelajar yang mengikuti kursus bukan bidang STEM Sains Teknologi Kejuruteraan dan. This is the bond that unites us. Learn more about our Tunku Abdul Rahman Scholarship through the link below.

YAYASAN TUNKU ABDUL RAHMAN About. Yayasan Biasiswa Sarawak Tunku Abdul Rahman YBSTAR Tujuan. Memupuk Pemimpin untuk Negaraku Yayasan Tunku Abdul Rahman YTAR is a non-government organisation that was.

Yayasan Tunku Abdul RahmanA-10-10 Menara UOA Bangsar59000 BangsarKuala Lumpur. Cara Permohonan BTAR 2022. Yayasan Biasiswa Sarawak Tunku Abdul Rahman YBSTAR Tunas Potensi PENERAJU Scholarship Biasiswa Kerajaan Negeri Sabah Scholarship For Degree Student.

UPDATED - 7 Mac 2019 Biasiswa Tunku Abdul Rahman untuk lepasan SPM STPM Asasi Matrikulasi dan Diploma untuk sambung pengajian ke peringkat degree. We are all Malaysians. YAYASAN BIASISWA SARAWAK TUNKU ABDUL RAHMAN.

Setiap pemohon perlu memenuhi syarat asas permohonan Biasiswa Tunku Abdul Rahman 2022. The scholarship is open to all focusing especially on high-potential students with a. Petra Jaya 93050 Kuching.

Biasiswa Tunku Abdul Rahman BTAR adalah biasiswa ijazah sarjana muda yang terbuka kepada pelajar yang berpotensi tinggi dan bercita-cita tinggi untuk menyumbang ke arah pembangunan Malaysia. The Biasiswa Tunku Abdul Rahman is more than just a prestigious scholarship - it is also a leadership development program meant to develop. PERMOHONAN BIASISWA TUNKU ABDUL RAHMAN BTAR Permohonan BTAR 2022 telah dibuka.

Yayasan Tunku Abdul Rahman ditubuhkan bertujuan untuk menjadi program biasiswa terkemuka di Malaysia yang berfokuskan pada nilai-nilai murni serta melibatkan. In the spirit of Tunku we focus on honing the potential of the future leaders of Malaysia regardless of colour or creed. Yayasan Tunku Abdul Rahman YTAR 781 followers on LinkedIn.

Hantar permohonan anda sekarang. Oleh itu penerima-penerima biasiswa akan menjalani. Biasiswa Yayasan Tunku Abdul Rahman adalah biasiswa berprestij dan eksklusif ini ditawarkan kepada pelajar cemerlang dan berbakat kepimpinan yang tinggi.

Wisma Adenan Jalan Sultan Tengah. Biasiswa Tunku Abdul Rahman BTAR 13th February 2022. Permohonan boleh dibuat secara atas talian online melalui pautan seperti berikut.

Program biasiswa ini menekankan pengembangan diri secara holistik dan berdasarkan nilai-nilai murni. Biasiswa Tunku Abdul Rahman BTAR adalah biasiswa ijazah sarjana muda yang terbuka kepada pelajar yang berpotensi tinggi dan bercita-cita tinggi untuk menyumbang ke. The Tunku Abdul Rahman Scholarship BTAR is an undergraduate degree scholarship open to high potential deserving students with a strong ambition to contribute to the development of.

Semua calon yang berminat boleh membuat permohonan secara online dengan mengikut langkah berikut. Borang yang telah dilengkapkanlengkap mestilah dikirim kepada Yayasan Sarawak menggunakan alamat di bawah.


Permohonan Biasiswa Yayasan Tunku Abdul Rahman Btar 202 Pusat Hal Ehwal Pelajar


Biasiswa Tunku Abdul Rahman Lepasan Spm Stpm Matrikulasi Asasi Dan Diploma Pendidikanmalaysia Com


Yayasan Tunku Abdul Rahman Home Facebook


Biasiswa Tunku Abdul Rahman Lepasan Spm Stpm Matrikulasi Asasi Dan Diploma Pendidikanmalaysia Com


Btar 2022 Permohonan Biasiswa Tunku Abdul Rahman


Bptar Bantuan Pelajaran Tunku Abdul Rahman Rm300 Sebulan Semakan Online


Biasiswa Tunku Abdul Rahman Btar Scholarship


Tawaran Biasiswa Yayasan Tunku Abdul Rahman Btar 2018 Mypendidikanmalaysia Com


Permohonan Biasiswa Tunku Abdul Rahman Btar Ijazah Sarjana Muda


Jumlah Biasiswa Tunku Abdul Rahman


Btar 2022 Permohonan Biasiswa Tunku Abdul Rahman


Btar 2022 Permohonan Biasiswa Tunku Abdul Rahman


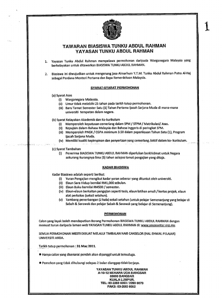
Tawaran Biasiswa Tunku Abdul Rahman Pdf


Btar 2022 Permohonan Biasiswa Tunku Abdul Rahman


Golden Opportunity Awaits Ya Apply For The Tunku Abdul Rahman Scholarship 2022 Now Varnam My


Haziq Azree Biasiswa Tunku Abdul Rahman


Tunku Abdul Rahman Scholarship Btar Yayasan Tunku Abdul Rahman


Yayasan Tunku Abdul Rahman On Twitter We Are Hiring We Are Are Looking For A Mission Driven Programme Executive To Support Our Programmes To Empower Students Age 18 To 25 Especially


Iraimalar Tunku Abdul Rahman Scholarship Btar This Facebook

Related : biasiswa yayasan tunku abdul rahman.